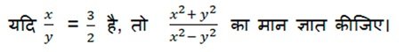
Railway Group D Mathematics Mock Test-4 October 9, 2025 by Sarkari Form Team WhatsApp Group Join Now Telegram Group Join Now 29 Railway Group D Mathematics Mock Test-4 1 / 15 1. शांति और कीर्ति की वर्तमान आयु का अनुपात 7 : 3 है। 5 वर्ष के बाद, शांति की आयु 40 वर्ष होगी। 5 वर्ष के बाद कीर्ति की आयु कितनी होगी? 15 वर्ष 10 वर्ष 20 वर्ष 30 वर्ष 2 / 15 2. 41 63 64 67 3 / 15 3. दो संख्याओं का महत्तम समापवर्त्य (HCF) 7 है, और उनका लघुत्तम समापवर्त्य (LCM) 434 है। यदि इनमें से एक संख्या 14 है, तो दूसरी संख्या ज्ञात कीजिए। 48 146 52 217 4 / 15 4. एक दुकानदार किसी पुस्तक को 14% की हानि पर बेचता है। यदि क्रय मूल्य में ₹100 की वृद्धि होती, तो उसे 6% का लाभ होता। पुस्तक का क्रय मूल्य कितना था? ₹650 ₹500 ₹970 ₹450 5 / 15 5. 18.5 cm × 12.5 cm × 10 cm विमाओं वाले एक घनाभ को सभी तरफ से पेंट किया जाता है। पेंट किए जाने वाले भाग का क्षेत्रफल ज्ञात कीजिए। 1157.5 cm² 1082.5 cm² 984.56 cm² 1198 cm² 6 / 15 6. प्रत्येक 14 cm लम्बी भुजा वाले एक समबाहु त्रिभुज का क्षेत्रफल ज्ञात कीजिए। 49√3 cm² 35√3 cm² 14√3 cm² 31√3 cm² 7 / 15 7. 14 13 12 11 8 / 15 8. 3:2:4 2:4:3 3:4:2 2:3:4 9 / 15 9. d c a b 10 / 15 10. 9/5 7/5 13/5 11/5 11 / 15 11. DAB DBA ADB ABD 12 / 15 12. एक व्यक्ति ने ₹75,000 की धनराशि 7 1/2% वार्षिक साधारण ब्याज की दर से 6 वर्ष के लिए निवेश की। 6 वर्ष बाद, उसे प्राप्त होने वाला मिश्रधन ज्ञात कीजिए। ₹1,08,750 ₹69,600 ₹1,12,500 ₹75,000 13 / 15 13. एक व्यक्ति 100 min तक 20 m/min की चाल से चलता है, और 50 min तक 70 m/min की चाल से चलता है। उसकी औसत चाल ज्ञात कीजिए। 110/3 m/min 70/3 m/min 25 m/min 35 m/min 14 / 15 14. 225º 270º 150º 320º 15 / 15 15. C A D B Your score is The average score is 29% LinkedIn Facebook Twitter VKontakte Restart quiz WhatsApp Group Join Now Telegram Group Join Now Floating WhatsApp Button